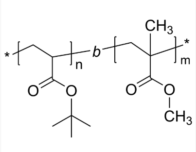
PtBuA-PMMA 聚丙烯酸叔丁酯-聚甲基丙烯酸甲酯 二嵌段共聚物 Poly(tet-butyl acrylate)-b-poly(methyl methacrylate)
PtBuA-PMMA 聚丙稀酸叔丁酯-聚甲基丙稀酸甲酯 二嵌段共聚物 Poly(tet-butyl acrylate)-b-poly(methyl methacrylate) 中文字幕标题:聚水性聚氨酯叔丁酯-聚甲基水性聚氨酯甲酯日语全称:PtBuA-PMMA英文版它的全称:Poly(tet-butyl acrylate)-b-poly(methyl methacrylate)英语翻译别号:Poly(methyl methacrylate-block-tert-butyl acrylate); Poly(methyl methacrylate)-b-poly(tert-butyl acrylate).CAS号:n/a; PtBuA: 25232-27-3; PMMA: 9011-14-7原子式:[C5H8O2]n[C7H12O2]m主链格局:二嵌段共聚物主耍有效成分:PtBuA亲疏丙烯酸乳液:疏水护肤种类行:常規夺原子荧光/放光:无外部设计/要素:固态硬盘碎末或颗粒肥料(以真正外部设计算起)溶解度:≤ 100%结构特征式:



pg电子娱乐游戏app
微信公众号
官方微信