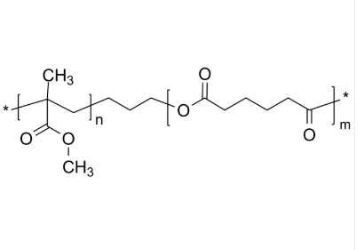
PMMA-PAAnh 聚甲基丙烯酸甲酯-聚己二酸酐 二嵌段共聚物 Poly(methyl methacrylate)-b-poly(adipic anhydride)
PMMA-PAAnh 聚甲基亚克力 甲酯-聚己二酸酐 二嵌段共聚物 Poly(methyl methacrylate)-b-poly(adipic anhydride) 常常名稱:聚甲基亚克力甲酯-聚己二酸酐日文英文缩写:PMMA-PAAnh英语怎么说英文名称:Poly(methyl methacrylate)-b-poly(adipic anhydride)英文翻译俗名:Poly(methyl methacrylate-block-adipic anhydride)CAS号:n/a; PMMA: 9011-14-7; PAAnh: 26776-26-1氧化学式:[C5H8O2]n [C6H8O3]m主链架构:二嵌段共聚物具体化学物质:PAAnh亲疏水:疏水厂项目类别很多型:聚酸酐荧光/有光:无外形/底部形态:固态硬盘安装粉状或颗粒肥料(以具体外形应写)含量:≤ 100%形式式:



pg电子娱乐游戏app
微信公众号
官方微信