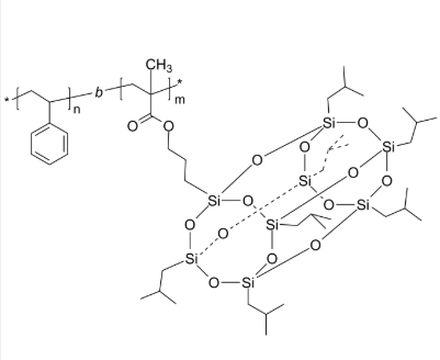
PS-P(POSSMA) 聚苯乙烯-聚(七异丁基笼型聚倍半硅氧烷基丙基-甲基丙烯酸酯) 二嵌段共聚物
PS-P(POSSMA) 聚苯氯乙烯-聚(七异丁基笼型聚倍半硅氧烷基丙基-甲基水性聚氨酯酯) 二嵌段共聚物 英语名字名稱:聚苯乙稀-聚(七异丁基笼型聚倍半硅氧烷基丙基-甲基亚克力酯)英语缩写:PS-P(POSSMA)英文版被称为:Poly(styrene)-b-poly(heptaisobutyl octasilsesquioxane [POSS] propyl methacrylate)英文音标別称:Poly(styrene-block-heptaisobutyl octasilsesquioxane [POSS] propyl methacrylate); Poly(styrene-block-POSS propyl methacrylate).CAS号:n/a; PS: 9003-53-6团伙式:[C8H8]n [C4H5O2-(CH2)3-Si8O12(C4H9)7]m主链结构的:二嵌段共聚物通常因素:POSS亲疏水性聚氨酯:疏水品牌分类:笼型聚倍半硅氧烷荧光/夜光:无外在/行态:nvme固态粉丝或粒子(以具体外在是以)纯净度:≤ 100%组成部分式:



pg电子娱乐游戏app
微信公众号
官方微信