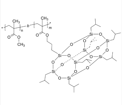
PMMA-P(POSSMA) 聚甲基丙烯酸甲酯-聚(七异丁基笼型聚倍半硅氧烷基丙基-甲基丙烯酸酯) 二嵌段共聚物
PMMA-P(POSSMA) 聚甲基丙稀酸甲酯-聚(七异丁基笼型聚倍半硅氧烷基丙基-甲基丙稀酸酯) 二嵌段共聚物 繁体中文命名:聚甲基丙稀酸甲酯-聚(七异丁基笼型聚倍半硅氧烷基丙基-甲基丙稀酸酯)英文音标代称:PMMA-P(POSSMA)英语称怎么读:Poly(methyl methacrylate)-b-poly(heptaisobutyl octasilsesquioxane [POSS] propyl methacrylate)日文別称:Poly(methyl methacrylate-block-heptaisobutyl octasilsesquioxane [POSS] propyl methacrylate)CAS号:n/a; PMMA: 9011-14-7碳原子式:[C5H8O2]n [C4H5O2-(CH2)3-Si8O12(C4H9)7]m主链框架:二嵌段共聚物主要成份:POSS亲疏水性聚氨酯:疏水车辆类型的:笼型聚倍半硅氧烷荧光/会发光:无金属机身/状态:固态硬盘安装颗粒状或颗粒状(以实践金属机身是以)色度:≤ 100%组成部分式:



pg电子娱乐游戏app
微信公众号
官方微信