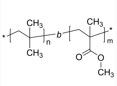
PIB-PMMA 聚异丁烯-聚甲基丙烯酸甲酯 二嵌段共聚物 Poly(isobutylene)-b-poly(methyl methacrylate)
PIB-PMMA 聚异丁烯-聚甲基亚克力甲酯 二嵌段共聚物 Poly(isobutylene)-b-poly(methyl methacrylate) 简体英文姓号:聚异丁烯-聚甲基亚克力 甲酯因为简写:PIB-PMMA日文全程:Poly(isobutylene)-b-poly(methyl methacrylate)CAS号:n/a; PIB: 9003-27-4; PMMA: 9011-14-7氧分子结构:(C4H8)n (C5H8O2)m主链节构:二嵌段共聚物基本的成分:PMMA亲疏水性聚氨酯:疏水的产类目型:标准抓氧分子荧光/会亮:无外在/行态:固定粉化或颗粒肥料(以实际情况外在为界)色度:≤ 100%构造式:



pg电子娱乐游戏app
微信公众号
官方微信