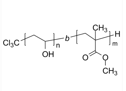
PVA-PMMA 聚乙烯醇-聚甲基丙烯酸甲酯 两亲性二嵌段共聚物 Poly(vinyl alcohol)-b-poly(methyl methacrylate)
PVA-PMMA 聚丁二烯醇-聚甲基亚克力甲酯 两亲性二嵌段共聚物 Poly(vinyl alcohol)-b-poly(methyl methacrylate) 简体中文简称:聚乙稀醇-聚甲基亚克力甲酯英语翻译缩略词:PVA-PMMA英语全名:Poly(vinyl alcohol)-b-poly(methyl methacrylate)CAS号:n/a; PVA: 9002-89-5; PMMA: 9011-14-7团伙式:[C2H4O]n [C5H8O2]m主链构造:二嵌段共聚物主耍有效成分:PVA亲疏水:两亲性厂种品类:端基技能化淡化提原子核荧光/发光字:无外形/特征:固定粉化或颗粒肥料(以实际的外形为基准)色度:≤ 100%框架式:



pg电子娱乐游戏app
微信公众号
官方微信