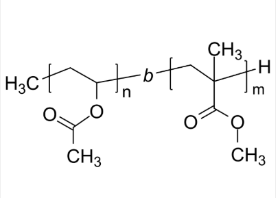
PVAc-PMMA 聚醋酸乙烯酯-聚甲基丙烯酸甲酯 两亲性二嵌段共聚物 Poly(vinyl acetate)-b-poly(methyl methacrylate)
PVAc-PMMA 聚冰醋酸乙稀酯-聚甲基丙烯酸酯甲酯 两亲性二嵌段共聚物 Poly(vinyl acetate)-b-poly(methyl methacrylate) 繁体中文名字称大全:聚乙酸丁二烯酯-聚甲基亚克力甲酯英文怎么说简称为:PVAc-PMMA英文音标中文名称:Poly(vinyl acetate)-b-poly(methyl methacrylate)CAS号:n/a; PVAc: 9003-20-7; PMMA: 9011-14-7氧分子结构:[C4H6O2]n [C5H8O2]m主链结构的:二嵌段共聚物大部分部分:PVAc亲疏水溶性:两亲性车辆分类:烷基封端得分子式荧光/发光字:无外部/体型:固态硬盘粉未或粒子(以事实外部为基准)溶解度:≤ 100%空间结构简式:



pg电子娱乐游戏app
微信公众号
官方微信