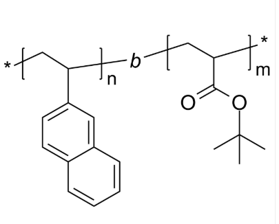
P2VN-PtBuA 聚(2-乙烯基萘)-聚丙烯酸叔丁酯 荧光二嵌段共聚物 Poly(2-vinyl naphthalene)-b-poly(tert-butyl acrylate)
P2VN-PtBuA 聚(2-氯乙烯基萘)-聚丙稀酸叔丁酯 荧光二嵌段共聚物 Poly(2-vinyl naphthalene)-b-poly(tert-butyl acrylate) 中文翻译名稱:聚(2-丁二烯基萘)-聚水性聚氨酯叔丁酯英文翻译俗称:P2VN-PtBuA英文翻译简称:Poly(2-vinyl naphthalene)-b-poly(tert-butyl acrylate)CAS号:n/a; P2VN: 28406-56-6; PtBuA: 25232-27-3原子核式:[C12H10]n [C7H12O2]m主链设备构造:二嵌段共聚物主耍材质:P2VN亲疏水溶性:疏水类产商品型:荧光整合物荧光/亮光:萘外装/形式:nvme固态粉丝或颗粒剂(以合理外装为界)溶解度:≤ 100%结构特征式:



pg电子娱乐游戏app
微信公众号
官方微信