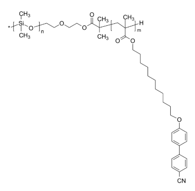
PDMS-P4CNBP11CMA 聚二甲基硅氧烷-聚(11-[4'-氰基联苯-4-氧基]-甲基丙烯酸十一烷基酯) 二嵌段共聚物
PDMS-P4CNBP11CMA 聚二甲基硅氧烷-聚(11-[4'-氰基联苯-4-氧基]-甲基水性聚氨酯11烷基酯) 二嵌段共聚物 汉语简称:聚二甲基硅氧烷-聚(11-[4'-氰基联苯-4-氧基]-甲基水性聚氨酯国庆烷基酯)国外英文代称:PDMS-P4CNBP11CMA英文怎么说它的全称:Poly(dimethylsiloxane)-b-poly(11-[4'-cyanobiphenyl-4-yloxy]-undecyl methacrylate)英语学名:PDMS-b-poly(11-[4-(4'-cyanophenyl)phenoxy]-undecyl methacrylate)CAS号:n/a; PDMS: 9016-00-6/63148-62-9原子核式:[Si(CH3)2O]n [C28H35NO3]m主链成分:二嵌段共聚物基本组成成分:PDMS亲疏水性聚氨酯:疏水食商品种类行:规范化涨碳原子荧光/会发光:无铜网美观/结构:固态硬盘安装金属粉或颗粒物(以现实情况铜网美观是以)色度:≤ 100%的化学结构式:

![PDMS-P4CNBP11CMA 聚二甲基硅氧烷-聚(11-[4'-氰基联苯-4-氧基]-甲基丙烯酸十一烷基酯) 二嵌段共聚物-UDP糖丨MOF丨金属有机框架丨聚集诱导发光丨荧光标记推荐西安pg电子娱乐游戏app
生物](/images/logo.png)

pg电子娱乐游戏app
微信公众号
官方微信