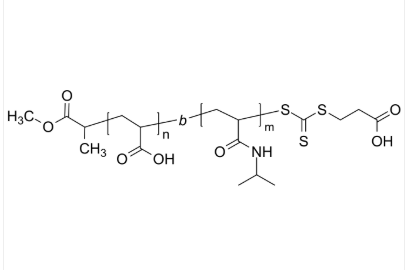
PAA-PNIPAM 聚丙烯酸-聚(N-异丙基丙烯酰胺) 两亲性二嵌段共聚物 Poly(acrylic acid)-b-poly(N-isopropylacrylamide)
PAA-PNIPAM 聚丙烯酸酯-聚(N-异丙基丙烯酰胺) 两亲性二嵌段共聚物 Poly(acrylic acid)-b-poly(N-isopropylacrylamide) 中文版种类:聚水性聚氨酯-聚(N-异丙基丙烯酰胺)用英文怎么说又称:PAA-PNIPAM用英文怎么说它的全称:Poly(acrylic acid)-b-poly(N-isopropylacrylamide)CAS号:n/a; PAA: 9003-01-4; PNIPAM: 25189-55-3原子核式:[C3H4O2]n [C6H11NO]m主链架构:二嵌段共聚物主要的的成分:PAA亲疏丙烯酸乳液:两亲性产品设备型号:端基基本功能化掩盖得原子核荧光/发光字:无外型/形式:固定粉尘或小粒(以现实外型是以)溶解度:≤ 100%构造式:



pg电子娱乐游戏app
微信公众号
官方微信