PAMPS-PAA 聚(2-丙烯酰胺-2-甲基丙磺酸)-聚丙烯酸 两亲性二嵌段共聚物
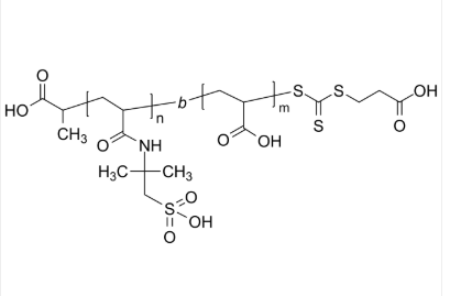
PAMPS-PAA 聚(2-丙烯酰胺-2-甲基丙磺酸)-聚亚克力 两亲性二嵌段共聚物 简体中文品牌:聚(2-丙烯酰胺-2-甲基丙磺酸)-聚丙烯酸酯国外英文统称:PAMPS-PAA用英文怎么说全稱:Poly(2-acrylamido-2-methylpropanesulfonic acid)-b-poly(acrylic acid)CAS号:n/a; PAMPS:27119-07-9; PAA: 9003-01-4氧分子结构:[C7H13NO4S]n[C3H4O2]m主链结构特征:二嵌段共聚物大部分化学成分:PAA亲疏水:两亲性服务型:端基能力化遮盖涨分子式荧光/发亮:无外形/姿态:固定粉化或颗粒状(以具体外形算起)溶解度:≤ 100%结构设计式:



pg电子娱乐游戏app
微信公众号
官方微信