西安pg电子娱乐游戏app 生物还可以提供PEG接枝修饰壳聚糖,壳聚糖-聚乙二醇-胆固醇,Cholesterol-PEG-Chitosan ,胆固醇-PEG-壳聚糖
英文版明称:壳聚糖-胆固醇升高
英文怎么说名字:Chitosan-Cholesterol
俗称:固醇高突显壳聚糖,固醇高-壳聚糖
色度:95%+
储存的条件:-20°C,遮光,避湿
外装:固态垃圾或粘度夜体,决定于于大分子量
PEG大分子量先选:350、550、750、1k、2k、34k、5k
纸盒包装:玻璃瓶/大袋
溶解完性:不能溶解大方面无机容剂,如:DCM、DMF、DMSO、THF特点。在水含有不错的溶解出来性
提前准备作用:取出某种要常温、干燥,逃避多的消融和冻干
IP地址:银川
厂家代理商:山东pg电子娱乐游戏app 怪物
石家庄pg电子娱乐游戏app 生物体供给巯基化热量体现的mPEG接枝壳聚糖
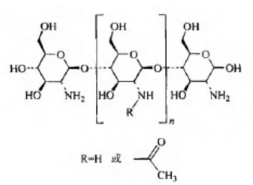
壳聚糖的成分特性
物理名:β-(1→4)-2-氨基-2-脱氧-D-巨峰葡萄糖水
分子结构式: (C6H11NO4)n
模块体的分子式量为:161.2
氨基红提糖是壳聚糖的首要组成部分方,壳二糖是壳聚糖的首要设备构造的糖单园,通过壳聚糖酶自然生态光降解壳聚糖取得的副产物是壳二糖
壳聚糖展示双旋螺成分功能,牙距为0.515 nm,6个糖残基组成了另一个螺旋运动三视图。甲壳素和壳聚糖的氨基、羟基、N-乙酰氨基生成的氢键,生成了甲壳素和壳聚糖大生物大分子的二次的节构。壳聚糖的氨基萄葡糖残基的椅式的节构有2种原子核内氢键,是一种壳聚糖原子核间氢键是C3-OH与相互邻近的另外类条壳聚含糖子链上的糖苷基演变成的,另外类种分子式间氢键是氨基常见葡萄品种糖残基的C3-OH与之间壳聚糖呋喃环上的氧氧分子达成的。甲壳素和壳聚糖的C3-OH、C2-NH2、C6-OH等官能团均可构成氧分子式内和氧分子式间氢键。

Chitosan-PLL 壳聚糖-聚赖氨酸
Chitosan-Poly-Ornithines 壳聚糖-聚鸟氨酸
Chitosan-Poly-Arginines 壳聚糖-聚精氨酸
Chitosan-Poly-Sarcosines 壳聚糖-聚肌氨酸
Chitosan-poly aspartic acid 壳聚糖-聚天冬氨酸
Chitosan-Poly(L-Glutamic acid)
Chitosan-His 壳聚糖-组氨酸
Chitosan-glutaric acid 壳聚糖-谷氨酸
Chitosan-Lysines 壳聚糖-赖氨酸
Chitosan-threonine 壳聚糖-苏氨酸
Chitosan-leucine 壳聚糖-亮氨酸
Chitosan-valine 壳聚糖-缬氨酸
Chitosan-Tryptophan 壳聚糖-色氨酸
Chitosan-Arginine 壳聚糖-精氨酸
Chitosan-Ornithine 壳聚糖-鸟氨酸
Chitosan-Aspartic acid 壳聚糖-天冬氨酸
Chitosan-tyrosine 壳聚糖-络氨酸
Chitosan-glycine 壳聚糖-甘氨酸
Chitosan-serine 壳聚糖-丝氨酸
设备厂家:上海pg电子娱乐游戏app 菌物科技产业有限单位英文单位之上姿料根据这里axc,2022.11.03以上的这篇文章说到的商品仅适用科技,不会适用人休

pg电子娱乐游戏app
微信公众号
官方微信