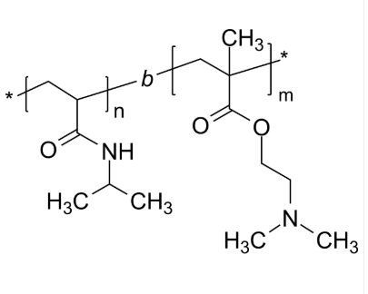
PNIPAM-PDMAEMA 聚(N-异丙基丙烯酰胺)-聚甲基丙烯酸二甲氨基乙酯 两亲性二嵌段共聚物
PNIPAM-PDMAEMA 聚(N-异丙基丙烯酰胺)-聚甲基丙烯酸酯二甲氨基乙酯 两亲性二嵌段共聚物 英文版品牌:聚(N-异丙基丙烯酰胺)-聚甲基丙烯酸酯二甲氨基乙酯英语翻译简单来说就是:PNIPAM-PDMAEMA用英语全名是:Poly(N-isopropylacrylamide)-b-poly(N,N-dimethylaminoethyl methacrylate)CAS号:n/a; PNIPAM: 25189-55-3; PEMA: 9003-42-3团伙式:[C6H11NO]n[C8H15O2N]m主链框架:二嵌段共聚物最主要的化学物质:PNIPAM亲疏水性聚氨酯:两亲性企业产产品线型:常规检查夺大分子荧光/发光字广告:无外部/形状:固态硬盘安装粉状或顆粒(以现实情况外部来算)含量:≤ 100%构成式:



pg电子娱乐游戏app
微信公众号
官方微信