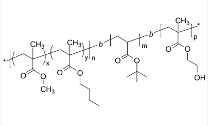
PMMAnBuMAran-PtBuA-PHEMA 聚甲基丙烯酸甲酯共甲基丙烯酸正丁酯-聚丙烯酸叔丁酯-聚甲基丙烯酸羟乙酯 ABC三嵌段共聚物
PMMAnBuMAran-PtBuA-PHEMA 聚甲基丙稀酸酯甲酯共甲基丙稀酸酯正丁酯-聚丙稀酸酯叔丁酯-聚甲基丙稀酸酯羟乙酯 ABC三嵌段共聚物 常常称谓:聚甲基丙稀酸甲酯共甲基丙稀酸正丁酯-聚丙稀酸叔丁酯-聚甲基丙稀酸羟乙酯英语翻译全称:PMMAnBuMAran-PtBuA-PHEMA英文怎么说被称为:Poly(methyl methacrylate-co-n-butyl methacrylate)-b-poly(tert-butyl acrylate)-b-poly(2-hydroxyethyl methacrylate)CAS号:n/a; PMMAnBuMAran: 25608-33-7; PtBuA: 25232-27-3; PHEMA: 25249-16-5大化学式:[(C5H8O2)x(C8H14O2)y]n[C7H12O2]m[C6H10O3]p主链组成部分:ABC三嵌段共聚物其主要有效成分:PHEMA亲疏水溶性:两亲性成产品线型:长规拿纤维材料式荧光/发亮:无表面/形态特征:固体粉末状或粒状(以实际的表面是以)含量:≤ 100%机构式:



pg电子娱乐游戏app
微信公众号
官方微信