PMMAnBuMAran-PnBuA-PHEMA 聚甲基丙烯酸甲酯共甲基丙烯酸正丁酯-聚丙烯酸正丁酯-聚甲基丙烯酸羟乙酯 ABC三嵌段共聚物
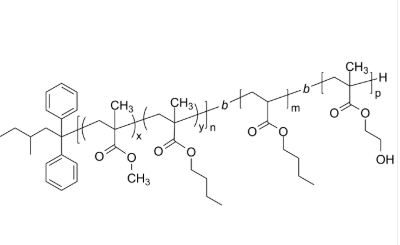
PMMAnBuMAran-PnBuA-PHEMA 聚甲基丙稀酸甲酯共甲基丙稀酸正丁酯-聚丙稀酸正丁酯-聚甲基丙稀酸羟乙酯 ABC三嵌段共聚物 英文版明称:聚甲基亚克力甲酯共甲基亚克力正丁酯-聚亚克力正丁酯-聚甲基亚克力羟乙酯因为名字简称:PMMAnBuMAran-PnBuA-PHEMA英语怎么说称怎么读:Poly(methyl methacrylate-co-n-butyl methacrylate)-b-poly(n-butyl acrylate)-b-poly(2-hydroxyethyl methacrylate)CAS号:n/a; PMMAnBuMAran: 25608-33-7; PnBuA: 9003-49-0; PHEMA: 25249-16-5大分子结构:[(C5H8O2)x(C8H14O2)y]n[C7H12O2]m[C6H10O3]p主链设计:ABC三嵌段共聚物常见化学成分:PHEMA亲疏水性聚氨酯:两亲性食商品型:烷基封端拿利用高分子式荧光/变色:无外在/姿态:固体咖啡豆或颗料(以现实情况外在来算)纯净度:≤ 100%节构式:



pg电子娱乐游戏app
微信公众号
官方微信