PIP(1,2-co-3,4)-P4VP-PMMA 聚(1,2-co-3,4-异戊二烯)-聚(4-乙烯基吡啶)-聚甲基丙烯酸甲酯 ABC三嵌段共聚物
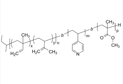
PIP(1,2-co-3,4)-P4VP-PMMA 聚(1,2-co-3,4-异戊二烯)-聚(4-丁二烯基吡啶)-聚甲基丙稀酸甲酯 ABC三嵌段共聚物 英文版称呼:聚(1,2-co-3,4-异戊二烯)-聚(4-氯乙烯基吡啶)-聚甲基丙稀酸甲酯国外英文英文缩写:PIP(1,2-co-3,4)-P4VP-PMMA英文字母简称:Poly(1,2-isoprene-co-3,4-isoprene)-b-poly(4-vinyl pyridine)-b-poly(methyl methacrylate)CAS号:n/a; PIP: 9003-31-0; P4VP: 25232-41-1; PMMA: 9011-14-7原子式:[C5H8]n [C7H7N]m [C5H8O2]p主链成分:ABC三嵌段共聚物包括有效成分:PIP亲疏水溶性:两亲性食项目类别很多型:烷基封端抓团伙荧光/有光:无表面/要素:固态硬盘粉末状或小粒(以实践表面时以)色度:≤ 100%型式式:



pg电子娱乐游戏app
微信公众号
官方微信