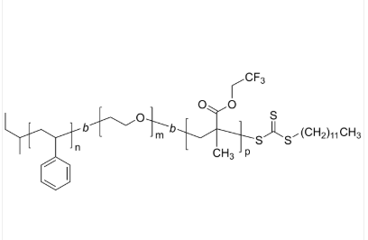
PS-PEO-PMATRIF 聚苯乙烯-聚环氧乙烷-聚三氟乙基甲基丙烯酸酯 ABC三嵌段共聚物
PS-PEO-PMATRIF 聚苯氯乙烯-聚氯化橡胶漆乙烷-聚三氟乙基甲基亚克力酯 ABC三嵌段共聚物 繁体英文姓称大全:聚苯丁二烯-聚环氧树脂乙烷-聚三氟乙基甲基亚克力 酯英文字母名字简称:PS-PEO-PMATRIF英文音标全名是:Poly(styrene)-b-poly(ethylene oxide)-b-poly(2,2,2-trifluoroethyl methacrylate)CAS号:n/a; PS: 9003-53-6; PEG: 25322-68-3; PMATRIF: 54802-79-8大化学式:[C8H8]n [C2H4O]m [C6H7F3O2]p S3C13H25主链结构类型:ABC三嵌段共聚物首要部分:PEO/PEG亲疏水性聚氨酯:两亲性车辆类:烷基封端低原子核荧光/会亮:无表面/型态:nvme固态粉末状原材料或粒状(以预期表面应写)色度:≤ 100%空间结构简式:



pg电子娱乐游戏app
微信公众号
官方微信