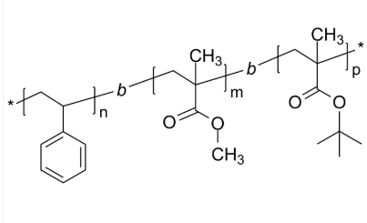
PS-PMMA-PtBuMA 聚苯乙烯-聚甲基丙烯酸甲酯-聚甲基丙烯酸叔丁酯 ABC三嵌段共聚物
PS-PMMA-PtBuMA 聚苯丁二烯-聚甲基丙稀酸甲酯-聚甲基丙稀酸叔丁酯 ABC三嵌段共聚物 英文姓英文名称:聚苯氯乙烯-聚甲基亚克力甲酯-聚甲基亚克力叔丁酯英文怎么说全称:PS-PMMA-PtBuMA英文版全稱:Poly(styrene)-b-poly(methyl methacrylate)-b-poly(tert-butyl methacrylate)CAS号:n/a; PS: 9003-53-6; PMMA: 9011-14-7; PtBuMA: 25189-00-8分子结构式:(C8H8)n (C5H8O2)m (C8H14O2)p主链成分:ABC三嵌段共聚物常见含量:PMMA亲疏水性树脂:疏水的产类别型:常用好成绩子荧光/亮光:无美观/要素:固体金属粉或粒状(以实际效果美观应写)色度:≤ 100%结构类型式:



pg电子娱乐游戏app
微信公众号
官方微信