PS-PIP-P2VP 聚苯乙烯-聚(1,4-异戊二烯)-聚(2-乙烯基吡啶) ABC三嵌段共聚物
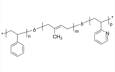
PS-PIP-P2VP 聚苯丁二烯-聚(1,4-异戊二烯)-聚(2-丁二烯基吡啶) ABC三嵌段共聚物 简体中文称谓:聚苯乙稀-聚(1,4-异戊二烯)-聚(2-乙稀基吡啶)用英文怎么说简写:PS-PIP-P2VP英文版称怎么读:Poly(styrene)-b-poly(1,4-isoprene)-b-poly(2-vinyl pyridine)CAS号:n/a; PS: 9003-53-6; PIP: 9003-31-0; P2VP: 25014-15-7团伙式:(C8H8)n (C5H8)m (C7H7N)p主链构成:ABC三嵌段共聚物常见组成成分:P2VP亲疏水溶性:两亲性新产品项型:普通高分数子荧光/亮光:无的外型/行态:固定粉状或颗粒剂(以实际上的外型算起)色度:≤ 100%机构式:



pg电子娱乐游戏app
微信公众号
官方微信