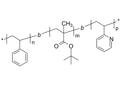
PS-PtBuMA-P2VP 聚苯乙烯-聚甲基丙烯酸叔丁酯-聚(2-乙烯基吡啶) ABC三嵌段共聚物
PS-PtBuMA-P2VP 聚苯丁二烯-聚甲基亚克力 叔丁酯-聚(2-丁二烯基吡啶) ABC三嵌段共聚物 中文字幕明称:聚苯氯氯乙烯-聚甲基水性聚氨酯叔丁酯-聚(2-氯氯乙烯基吡啶)用英文怎么说也叫:PS-PtBuMA-P2VP英文怎么说被称为:Poly(styrene)-b-poly(tert-butyl methacrylate)-b-poly(2-vinyl pyridine)CAS号:n/a; PS: 9003-53-6; PtBuMA: 25189-00-8; P2VP: 25014-15-7原子式:[C8H8]n [C8H14O2]m [C7H7N]p主链结构设计:ABC三嵌段共聚物其主要基本成分:P2VP亲疏水:两亲性物料方式:标准比较高的分数子荧光/亮光:无外觀/行态:固体科粒或科粒(以具体情况外觀为界)溶解度:≤ 100%组成部分式:



pg电子娱乐游戏app
微信公众号
官方微信