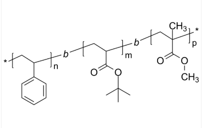
PS-PtBuA-PMMA 聚苯乙烯-聚丙烯酸叔丁酯-聚甲基丙烯酸甲酯 ABC三嵌段共聚物
PS-PtBuA-PMMA 聚苯乙稀-聚亚克力叔丁酯-聚甲基亚克力甲酯 ABC三嵌段共聚物 简体中文名字稱:聚苯丁二烯-聚亚克力 酯叔丁酯-聚甲基亚克力 酯甲酯国外英文通称:PS-PtBuA-PMMA英语怎么说英文名称:Poly(styrene)-b-poly(tert-butyl acrylate)-b-poly(methyl methacrylate)CAS号:n/a; PS: 9003-53-6; PtBuA: 25232-27-3; PMMA: 9011-14-7大分子结构:(C8H8)n (C7H12O2)m (C5H8O2)p主链结构特征:ABC三嵌段共聚物包括物质:PMMA亲疏水性聚氨酯:疏水类产类目型:常规的好成绩子荧光/变色:无金属机身/基本特征:固态硬盘金属粉或颗粒肥料(以合理金属机身为界)溶解度:≤ 100%机构式:



pg电子娱乐游戏app
微信公众号
官方微信