PMOXZ-PDMS-PMOXZ 聚甲基恶唑啉-聚二甲基硅氧烷-聚甲基恶唑啉 ABA三嵌段共聚物 with ethyl-benzyl link
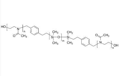
PMOXZ-PDMS-PMOXZ 聚甲基恶唑啉-聚二甲基硅氧烷-聚甲基恶唑啉 ABA三嵌段共聚物 with ethyl-benzyl link 中文版种类:聚甲基恶唑啉-聚二甲基硅氧烷-聚甲基恶唑啉英文字母全称:PMOXZ-PDMS-PMOXZ英语翻译称怎么读:Poly(2-methyl oxazoline)-b-poly(dimethyl siloxane)-b-poly(2-methyl oxazoline), with ethyl-benzyl link between blocksCAS号:n/a; PDMS: 9016-00-6 / 63148-62-9大分子结构:[C4H7NO]m[Si(CH3)2O]n[C4H7NO]m主链设计:ABA三嵌段共聚物主要的因素:PMOXZ/PMEOXZ亲疏水性树脂:两亲性商分类型、:链端羟基最高氧分子荧光/发亮:无油漆颜色/形态特征:固体粉未或颗料(以实际上油漆颜色为界)纯净度:≤ 100%构造式:



pg电子娱乐游戏app
微信公众号
官方微信