PEO-PDMS-PEO | PEG-PDMS-PEG 聚乙二醇-聚二甲基硅氧烷-聚乙二醇 ABA三嵌段共聚物
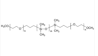
PEO-PDMS-PEO | PEG-PDMS-PEG 聚乙二醇-聚二甲基硅氧烷-聚乙二醇 ABA三嵌段共聚物 中文命名:聚乙二醇-聚二甲基硅氧烷-聚乙二醇因为俗称:PEO-PDMS-PEO英语它的全称:Poly(ethylene oxide)-b-poly(dimethylsiloxane)-b-poly(ethylene oxide)CAS号:n/a; PEG: 25322-68-3; PDMS: 9016-00-6/63148-62-9分子结构式:[C2H4O]n [C2H6OSi]m [C2H4O]n主链组成部分:ABA三嵌段共聚物主要化学物质:PEO/PEG亲疏水:两亲性软件形式:烷基封端满原子荧光/出现发亮:无美观/要素:固态硬盘粉化或顆粒(以实际效果美观为标准)含量:≤ 100%架构式:



pg电子娱乐游戏app
微信公众号
官方微信