4臂星形-聚乙二醇-琥珀酰亚胺戊二酸酯 4-Arm PEG-SG (Multi-arm - PEG Succinimidyl Glutarate)
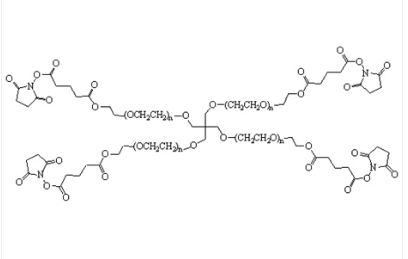
4臂星形-聚乙二醇-蜜腊酰亚胺戊二酸酯 4-Arm PEG-SG (Multi-arm - PEG Succinimidyl Glutarate) 简体中文公司名称:4臂星形-聚乙二醇-虎珀酰亚胺戊二酸酯日文也叫:4-Arm PEG-SG英语怎么说它的全称:4-Arm PEG-SG (Multi-arm - four arm - PEG Succinimidyl Glutarate)CAS号:n/a; PEG: 25322-68-3主链结构类型:多臂星形主耍部分:PEO/PEG亲疏水:亲水商不断研发创新型:端基功能模块化绘制得分子式荧光/放光:无外形/特征:固体粉化或粒子(以事实上外形来算)结构设计式:



pg电子娱乐游戏app
微信公众号
官方微信