生物素-聚乙二醇-羧基 Biotin-PEG-COOH (Biotin PEG Carboxylic acid)
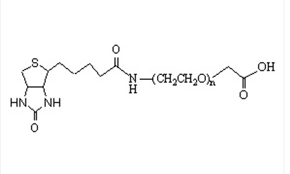
菌物素-聚乙二醇-羧基 Biotin-PEG-COOH (Biotin PEG Carboxylic acid) 英文版标题:怪物素-聚乙二醇-羧基英语怎么说俗称:Biotin-PEG-COOH国外英文简称:Biotin-PEG-COOH (Biotin PEG Carboxylic acid)CAS号:n/a; PEG: 25322-68-3主链型式:直链均聚物常见材料:PEO/PEG亲疏丙烯酸乳液:亲水车辆的类型:Biotin箭头涨分子结构荧光/放光:无外觀/特性:固体粉沫或粒子(以实践外觀为基准)的结构简式:



pg电子娱乐游戏app
微信公众号
官方微信