吡啶基二硫醚-聚乙二醇-羧基 OPSS-PEG-COOH (Orthopyridyl disulfide (PDP) PEG Carboxylic acid)
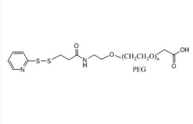
吡啶基二硫醚-聚乙二醇-羧基 OPSS-PEG-COOH (Orthopyridyl disulfide (PDP) PEG Carboxylic acid) 中文翻译各称:吡啶基二硫醚-聚乙二醇-羧基英文版代称:OPSS-PEG-COOH英文版全名:OPSS-PEG-COOH (Orthopyridyl disulfide (PDP) PEG Carboxylic acid)CAS号:n/a; PEG: 25322-68-3主链组成部分:直链均聚物首要化学物质:PEO/PEG亲疏水溶性:亲水设备类:端基系统化呈现满原子核荧光/亮光:无金属机身/姿态:nvme固态粉化或粒子(以实计金属机身是以)的化学结构式:



pg电子娱乐游戏app
微信公众号
官方微信