广州pg电子娱乐游戏app 微生物还能够 出示PEG 接枝绘制壳聚糖,壳聚糖-聚乙二醇-罗丹明B,Rhodamine B-PEG-Chitosan,罗丹明B-PEG-壳聚糖
中文字幕种类:壳聚糖-罗丹明B
英语翻译分类:Chitosan-Rhodamine B
俗称:罗丹明B标记图片壳聚糖,罗丹明B-壳聚糖
色度:95%+
存储器必备条件:-20°C,背光,避湿
外表: 物质或粘力液滴,在于于团伙量
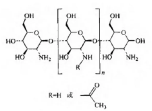
PEG分子结构量可选装:350、550、750、1k、2k、34k、5k
外包装:小瓶/成袋
分解性:溶水大局部有机肥料溶液,如:DCM、DMF、DMSO、THF等一下。在水中含比较好的融化性
特别注意作用:采用肯定要潮湿,尽量避免过于频繁的融解和冻干
IP地址:银川
生产厂:宝鸡pg电子娱乐游戏app 怪物
将罗丹明B和水合肼反响而来罗丹明B酰肼;第二步以乙二醛为热塑剂,将罗丹明B酰肼接枝到壳聚糖上获得吸附物剂,
壳聚糖产生 双螺旋叶片组成部分结构类型,牙距为0.515 nm,6个糖残基组成了另一个锥形品面。甲壳素和壳聚糖的氨基、羟基、N-乙酰氨基转变成的氢键,转变成了甲壳素和壳聚糖大碳原子的一级构造。壳聚糖的氨基匍萄糖残基的椅式构造含有2种原子内氢键,另一种壳聚糖原子间氢键是C3-OH与相临的其他条壳聚糖份子链上的糖苷基变成的,其他种碳原子间氢键是氨基红提葡萄糖粉残基的C3-OH与毗邻壳聚糖呋喃环上的氧电子层确立的。甲壳素和壳聚糖的C3-OH、C2-NH2、C6-OH等官能团均可演变成原子核内和原子核间氢键。

alginate-Hyaluronic acid 海藻颗粒酸钠-通透质酸
alginate-BSA 海藻颗粒酸钠-牛血贞洁血清
alginate-HAS 海藻颗粒酸钠-人血清廉蛋白质
alginate-Transferrin 海草酸钠-转铁核蛋白
alginate-Wheat germ agglutinin 海藻颗粒酸钠-春小麦胚凝集素
alginate-Streptavidins 水藻酸钠-链霉亲和素
alginate-Heparin 藻类酸钠-肝素
alginate-Concanavalin A 藻类酸钠-刀豆球血清A
alginate-Catalase 海藻颗粒酸钠-过钝化氢酶
alginate-Insulin 绿豆酸钠-胰岛素
pg电子娱乐游戏app 生物学大家axc综上所述好产品全用到科技研究,没办法用到机体。

pg电子娱乐游戏app
微信公众号
官方微信