甘草次酸-壳聚糖纳米粒(GA-CS-NPs)|壳聚糖-甘草次酸|壳聚糖-PEG-甘草次酸
甘草次酸-壳聚糖微米粒(GA-CS-NPs),GA-CS-NPs外表圆整、不光滑,在常温状况下,具备着一段的稳判定高性。
常常分类:壳聚糖-甘草次酸
用英语分类:Chitosan-glycyrrhetinicacid
别名:甘草次酸体现壳聚糖,甘草次酸-壳聚糖
深圳pg电子娱乐游戏app 生物技术还能够 可以提供PEG接枝呈现壳聚糖,壳聚糖-聚乙二醇-甘草次酸,glycyrrhetinicacid-PEG-Chitosa,甘草次酸-PEG-壳聚糖
溶解度:95%+
储存方式必备条件:-20°C,遮光,避湿
外观设计:胶体或黏力粘液,在于于团伙量
PEG团伙量要选:350、550、750、1k、2k、34k、5k
包装箱:瓶裝/成袋
可溶性高,溶解于水的性:溶解于大部份有机会溶液,如:DCM、DMF、DMSO、THF之类的。在水有良好的充分均匀溶解性
准备议题:选用必定要干热,规避过于频繁的溶解完和冻干
电话号码:绵阳
制造商:咸阳pg电子娱乐游戏app 微生物
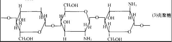
壳聚糖的羧烷基反应
壳聚糖的羧甲基化不光發生在-0H上,也会在-NH2上进行结合在一起,要想的组成单一纯粹的羧甲基壳聚糖。当在强碱下症状时,羧甲基化症状的活力为:1级羟基的活性酶>下级羟基的活性酶类>氨基的活性酶。

陕西pg电子娱乐游戏app 生物工程科技创新比较有限机构给出许多不相同团伙量,不相同官能团和脂质体的聚乙二醇装饰脂质体(PEG-脂质体)具象化物,收录甲氧基聚乙二醇-磷脂酰工业乙醇胺具象化物mPEG-PE,甲氧基聚乙二醇-神经末梢酰胺具象化物mPEG-Ceramide,系统性PEG-脂质体,荧光素-PEG-PE等具象化物。经所用到的PEG氧分子结构量从600-12000,经所用到的氧分子结构量为2000到5000。
匍萄糖-苯基 Glucose-Phenyl
提子糖-磷酸 Glucose-phosphoric acid
夏黑葡萄糖粉-次氮基三乙酸 Glucose-NTA
匍萄糖-五氟苯酚 Glucose-Pentafluorophenyl
匍萄糖-苯甲荃 Glucose-Benzaldehyde
萄葡糖-亚油酸 Glucose-linoleic acid
常见葡萄品种糖-甲磺酸酯 Glucose-Mesylate
提子糖-磷酸三苯酯 Glucose-
冬枣糖-多巴胺 Glucose-Dopamine
红葡糖-二茂铁 Glucose-Ferrocene
制造厂:上海pg电子娱乐游戏app 动物现代科技有效投资有限公司上面的数据源于楼主axc,2022.10.27不低于文本中一说起的厂品仅应用在科研开发,不允许应用在我们身体。

pg电子娱乐游戏app
微信公众号
官方微信