中文名字名称大全:壳聚糖-马来酰亚胺
英语翻译标题:Chitosan-MAL
美称:马来酰亚胺呈现壳聚糖,马来酰亚胺-壳聚糖
昆明pg电子娱乐游戏app 动物还需要提拱 PEG 接枝绘制壳聚糖,Chitosan-PEG-MAL 壳聚糖-聚乙二醇-马来酰亚胺,马来酰亚胺-PEG-壳聚糖
饱和度:95%+
贮存条件:-20°C,遮光,避湿
金属机身: 无水硫酸铜或粘结性气体,衡量于碳原子量
PEG大分子量能选:350、550、750、1k、2k、34k、5k
纸盒包装:小瓶/整袋
溶化性:易溶于大有一部分无机溶液,如:DCM、DMF、DMSO、THF之类的。在水含有太好的溶化性
主意要点:取出特定要空气干燥,避免出现一直的容解和冻干
地点:兰州
产品:石家庄pg电子娱乐游戏app 生物学
实验性用途:分离纯化含DielsAlder加上构成的偶氮苯缔合物PAzo.再将含马来酰亚胺组成部分的壳聚糖与偶氮苯汇聚物PAzo对其进行挽回,壳聚糖中的马来酰亚胺设计与呋喃偶氮苯机组构成可逆性的含DielsAlder加持结构特征,制得出壳聚糖PAzo包覆膜
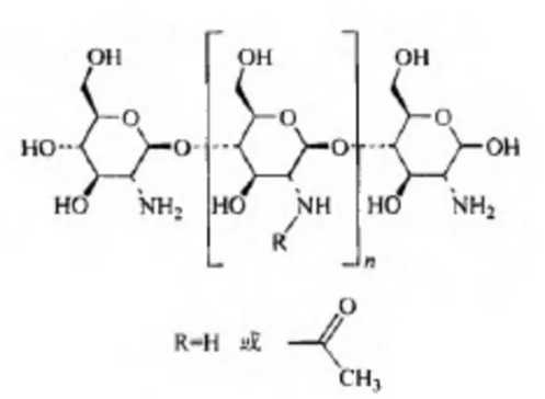
壳聚糖的空间结构有特点
化工名:β-(1→4)-2-氨基-2-脱氧-D-草莓糖
碳原子式: (C6H11NO4)n
第一单元体的团伙量为:161.2
氨基草莓糖是壳聚糖的差不多分为企业单位,壳二糖是壳聚糖的差不多设计的糖第一单元,使用壳聚糖酶肯定化学降解壳聚糖赢得的化合物是壳二糖
壳聚糖显示双螺旋式的具有特征英文,锥度为0.515 nm,6个糖残基根据1个双螺旋水平线。甲壳素和壳聚糖的氨基、羟基、N-乙酰氨基组成的氢键,组成了甲壳素和壳聚糖大原子核的特殊构成设计。壳聚糖的氨基红葡萄糖水残基的椅式构成设计中含2种大分子内氢键,有一种壳聚糖大分子间氢键是C3-OH与交界的其它条壳聚糖量子链上的糖苷基演变成的,其它种原子间氢键是氨基红提糖残基的C3-OH与邻近的壳聚糖呋喃环上的氧原子结构变成的。甲壳素和壳聚糖的C3-OH、C2-NH2、C6-OH等官能团均可建成分子式结构内和分子式结构间氢键。

多糖产品目录:
杨枝糖-二苯基环辛炔 mannose-DBCO
杨枝糖-反式环辛烯 mannose-TCO
杨枝糖-四嗪 mannose-TZ
珠露糖-DHA mannose-FA
杨枝糖-半琥铂酸胆固醇升高 mannose-CHEMS
珠露糖-苯基 mannose-Phenyl
珠露糖-磷酸 mannose-phosphoric acid
杨枝糖-次氮基三乙酸 mannose-NTA
杨枝糖-五氟苯酚 mannose-Pentafluorophenyl
产家:宝鸡pg电子娱乐游戏app 菌物社会十分有限集团不低于姿料基神评axc,2022.10.27这些从文中看到的好产品仅使采用科研项目,没办法使采用人体本身。

pg电子娱乐游戏app
微信公众号
官方微信