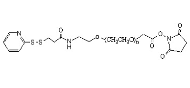
吡啶基二硫醚-聚乙二醇-琥珀酰亚胺NHS酯 OPSS-PEG-NHS (Orthopyridyl disulfide PDP PEG NHS ester)
吡啶基二硫醚-聚乙二醇-蜜腊酰亚胺NHS酯 OPSS-PEG-NHS (Orthopyridyl disulfide PDP PEG NHS ester) 简体中文名字称大全:吡啶基二硫醚-聚乙二醇-虎珀酰亚胺NHS酯英文字母又称:OPSS-PEG-NHS英文版全程:OPSS-PEG-NHS (Orthopyridyl disulfide PDP PEG Succinimidyl ester)CAS号:n/a; PEG: 25322-68-3主链型式:直链均聚物主要的成分表:PEO/PEG亲疏水性树脂:亲水產分种类:端基功效化掩盖好成绩子荧光/会亮:无外表/体型:固体粉末状或小粒(以现实情况外表为界)结构类型式:



pg电子娱乐游戏app
微信公众号
官方微信