马来酰亚胺-聚乙二醇-羧基 MAL-PEG-COOH (Maleimide PEG Carboxylic acid)
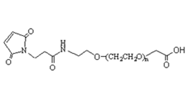
马来酰亚胺-聚乙二醇-羧基 MAL-PEG-COOH (Maleimide PEG Carboxylic acid) 2英文各称:马来酰亚胺-聚乙二醇-羧基日语代称:MAL-PEG-COOH英文翻译总称:MAL-PEG-COOH (Maleimide PEG Carboxylic acid)CAS号:n/a; PEG: 25322-68-3主链组成部分:直链均聚物主要的的成分:PEO/PEG亲疏水:亲水品牌业务类型:端基系统化体现高分数子荧光/会发光:无外部/形状:固体咖啡豆或颗粒状(以具体外部为标准)形式式:



pg电子娱乐游戏app
微信公众号
官方微信