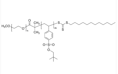
PEO-PSSO3NP 聚乙二醇-聚(4-苯乙烯磺酸新戊酯) 两亲性二嵌段共聚物 Poly(ethylene oxide)-b-poly(neopentyl 4-styrene sulfonate)
PEO-PSSO3NP 聚乙二醇-聚(4-苯氯乙烯磺酸新戊酯) 两亲性二嵌段共聚物 Poly(ethylene oxide)-b-poly(neopentyl 4-styrene sulfonate) 中文字幕明称:聚乙二醇-聚(4-苯丁二烯磺酸新戊酯)英文音标全称:PEO-PSSO3NP | PEG-PSSO3NP用英文怎么说全名:Poly(ethylene oxide)-b-poly(neopentyl 4-styrene sulfonate)英文音标俗称:Poly(ethylene glycol)-b-poly(neopentyl p-vinylbenzenesulfonate)CAS号:n/a; PEO: 25322-68-3原子核式:[C2H4O]n[C13H18O3S]m主链框架:二嵌段共聚物关键成分表:PSSO3H/PSSA亲疏丙烯酸乳液:两亲性产品的内型:烷基封端蒙题子荧光/会发光:无美观/价值形式:固态硬盘安装粉尘或小粒(以实际的美观为基准)含量:≤ 100%结构的式:



pg电子娱乐游戏app
微信公众号
官方微信