8-Arm PEG-OH 8臂星形-聚乙二醇-羟基 Poly(ethylene oxide), hydroxy-terminated 8-arm star
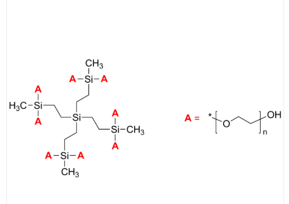
8-Arm PEG-OH 8臂星形-聚乙二醇-羟基 Poly(ethylene oxide), hydroxy-terminated 8-arm star 中文字幕称谓:8臂星形-聚乙二醇-羟基英文音标也叫:8-Arm PEG-OH用英文怎么说称怎么读:Poly(ethylene oxide), hydroxy-terminated 8-arm star polymer / Core: tetrakis(2-silylethyl)silane英文音标俗称:Poly(ethylene glycol)CAS号:n/a; PEG: 25322-68-3原子式:(C2H4O)n主链型式:多臂星形具体部分:PEO/PEG亲疏丙烯酸乳液:亲水产品设备业务类型:链端羟基抓氧分子荧光/有光:无外光/底部形态:固态硬盘安装金属粉或颗粒肥料(以实计外光时以)饱和度:≤ 100%节构式:



pg电子娱乐游戏app
微信公众号
官方微信