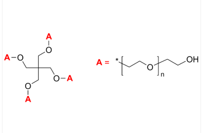
4-Arm PEG-OH 4臂星形-聚乙二醇-羟基 Poly(ethylene oxide), hydroxy-terminated 4-arm star polymer / Core: pentae
4-Arm PEG-OH 4臂星形-聚乙二醇-羟基 Poly(ethylene oxide), hydroxy-terminated 4-arm star polymer / Core: pentae 常常名稱:4臂星形-聚乙二醇-羟基英语翻译简单来说就是:4-Arm PEG-OH日语中文名称:Poly(ethylene oxide), hydroxy-terminated 4-arm star polymer / Core: pentaerythritol英文怎么说别称:Poly(ethylene glycol)CAS号:n/a; PEG: 25322-68-3原子核式:(C2H4O)n主链节构:多臂星形主要的基本成分:PEO/PEG亲疏水:亲水產品种型:链端羟基抓分子结构荧光/带光:无外部/社会形态:固态硬盘安装粉状或颗粒剂(以实计外部算起)色度:≤ 100%设计式:



pg电子娱乐游戏app
微信公众号
官方微信