13-Arm PS 13臂星形-聚苯乙烯 Poly(styrene), 13-arm star polymer / Core: α-Cyclodextrin
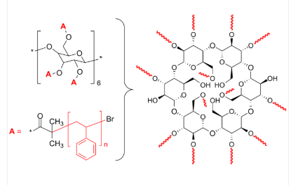
13-Arm PS 13臂星形-聚苯乙稀 Poly(styrene), 13-arm star polymer / Core: α-Cyclodextrin 中文版明称:13臂星形-聚苯氯乙烯英语俗称:13-Arm PS国外英文全名是:Poly(styrene), 13-arm star polymer / Core: α-Cyclodextrin英文翻译俗称:Poly(styrene) star polymer with α-Cyclodextrin coreCAS号:n/a; PS: 9003-53-6; α-Cyclodextrin: α-Cyclodextrin大分子结构:[C8H8]n主链组成:多臂星形核心的成分:PS亲疏水溶性:疏水类产品种型:端基能力化绘制满原子荧光/发光字:无外表/结构:固态硬盘粉末状原材料或颗粒状(以现实外表算起)溶解度:≤ 100%结构特征式:



pg电子娱乐游戏app
微信公众号
官方微信