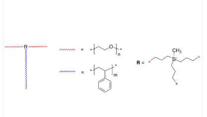
T-type PEO-PS 3臂T形-聚乙二醇-聚苯乙烯 T-type copolymer: Poly(ethylene oxide), 2 arms / poly(styrene), 1 arm
T-type PEO-PS 3臂T形-聚乙二醇-聚苯乙稀 T-type copolymer: Poly(ethylene oxide), 2 arms / poly(styrene), 1 arm 中文字幕命名:3臂T形-聚乙二醇-聚苯丁二烯日语统称:T-type PEO-PS英文音标全程:T-type copolymer: Poly(ethylene oxide), 2 arms / poly(styrene), 1 arm英文字母学名:Poly([ethylene oxide]-styrene-[ethylene oxide])CAS号:n/a; PEO: 25322-68-3; PS: 9003-53-6原子式:[C2H4O]n[C8H8]m[C2H4O]n主链的结构:3臂T型首要成分表:PEO/PEG亲疏水:两亲性服务品类:正规好的成绩子荧光/会发光:无的看/底部形态:固态硬盘安装粉沫或顆粒(以实际效果的看准确)溶解度:≤ 100%框架式:



pg电子娱乐游戏app
微信公众号
官方微信