6-Arm PBd 6臂星形-聚丁二烯 Poly([1,2-co-1,4]-butadiene), 6-arm star polymer
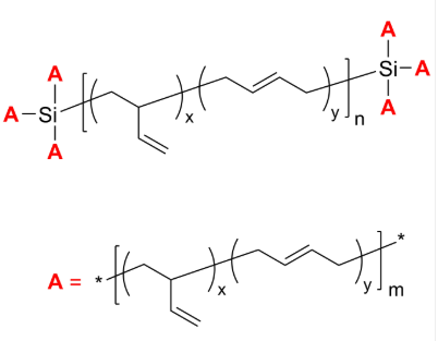
6-Arm PBd 6臂星形-聚丁二烯 Poly([1,2-co-1,4]-butadiene), 6-arm star polymer 英文版英文名称:6臂星形-聚丁二烯英文字母简单来说就是:6-Arm PBd日文它的全称:Poly([1,2-co-1,4]-butadiene), 6-arm star polymer / Core: poly([1,2-co-1,4]-butadiene), silyl-terminated英语怎么说俗称:PolybutadieneCAS号:n/a; PBd: 9003-17-2大分子结构:(C4H6)n主链设备构造:多臂星形最主要的组成成分:PBd亲疏水性聚氨酯:疏水物料方式:规范抓大分子荧光/荧光:无表面设计/结构:nvme固态粉化或顆粒(以事实表面设计应写)含量:≤ 100%结构的式:

![6-Arm PBd 6臂星形-聚丁二烯 Poly([1,2-co-1,4]-butadiene), 6-arm star polymer-UDP糖丨MOF丨金属有机框架丨聚集诱导发光丨荧光标记推荐西安pg电子娱乐游戏app
生物](/images/logo.png)

pg电子娱乐游戏app
微信公众号
官方微信