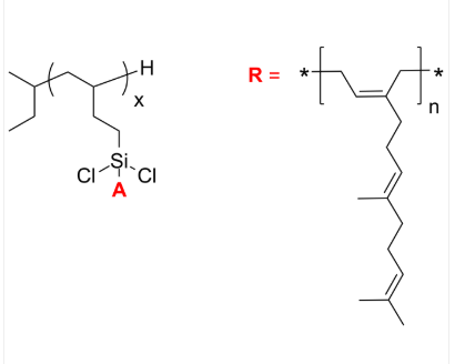
4-Arm Polyfarnesene 4臂星形-聚法尼烯/聚金合欢烯 Poly(1,4-farnesene), 4-arm star polymer / Core: oligo-Bd
4-Arm Polyfarnesene 4臂星形-聚法尼烯/聚金合欢烯 Poly(1,4-farnesene), 4-arm star polymer / Core: oligo-Bd 汉语公司名称:4臂星形-聚法尼烯/聚金合欢烯用英语简写:4-Arm Polyfarnesene英文字母全稱:Poly(1,4-farnesene), 4-arm star polymer / Core: oligo(1,2-butadiene), silyl-modified用英文怎么说俗名:Poly(farnesene) star polymerCAS号:n/a; Polyfarnesene: 18794-84-8分子结构式:(C15H24)n主链结构的:多臂星形一般化学物质:Polyfarnesene亲疏水性聚氨酯:疏水企业产不断研发创新型:星核修饰语抓团伙荧光/出现发亮:无油漆颜色/行态:固态硬盘粉尘或小粒(以真正油漆颜色算起)溶解度:≤ 100%机构式:



pg电子娱乐游戏app
微信公众号
官方微信