PMMA-PIBEMA-g-PS 聚甲基丙烯酸甲酯-聚甲基丙烯酸异丁基乙酯-接枝聚苯乙烯 二嵌段共聚物接枝高分子
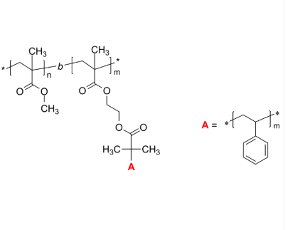
PMMA-PIBEMA-g-PS 聚甲基亚克力甲酯-聚甲基亚克力异丁基乙酯-接枝聚苯氯乙烯 二嵌段共聚物接枝抓分子结构 常常名字:聚甲基亚克力甲酯-聚甲基亚克力异丁基乙酯-接枝聚苯乙稀国外英文简称英文:PMMA-PIBEMA-g-PS日文它的全称:Poly(methyl methacrylate)-b-[poly(isobutyryl ethyl methacrylate)-graft-poly(styrene)]国外英文学名:Poly(methyl methacrylate–block–[isobutyryl ethylmethacrylate–graft–polystyrene])CAS号:n/a; PS: 9003-53-6; PMMA: 25188-98-1/9011-14-7大分子结构:[C5H8O2]n [C10H15O4(C8H8)p]m主链的结构:接枝共聚物首要物质:PMMA亲疏水:疏水新产分型号:规范低原子荧光/会亮:无外光/形态特征:固定粉尘或粒状(以其实外光来算)含量:≤ 100%成分式:



pg电子娱乐游戏app
微信公众号
官方微信