西安pg电子娱乐游戏app 生物供应聚氨基酸PLL聚赖氨酸,Poly聚鸟氨酸,聚精氨酸,聚肌氨酸修饰海藻酸钠alginate,壳聚糖CsChitosan,半乳糖galactose,甘露糖mannose,葡萄糖Glucose,乳糖基Lactosyl等私人订制服务保障
2英文明称:海草酸钠-聚乙二醇-聚天冬氨酸
英语种类:alginate-PEG-poly aspartic acid
色度:95%+
储备的条件:-20°C,背光,避湿
油漆颜色: 固体颗粒或黏力液滴,考量于团伙量
PEG氧分子量自选:350、550、750、1k、2k、34k、5k
标签印刷:小瓶装/小袋装
容解性:易溶于大一部分生物碳稀释剂,如:DCM、DMF、DMSO、THF等等等等 。在水有很棒的溶解完性
要注意须知:倒取务必要晾干,减少反复的溶解完和冻干
网址:银川
生产厂:宝鸡pg电子娱乐游戏app 动物
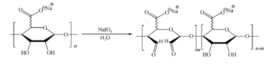
海草酸钠光催化原理措施
绿豆酸钠的加工工艺的流程下列:干的或湿的海草(藻)经碾碎、手洗除杂、强酸强碱水提纯、明确得粗绿豆酸盐盐溶液,经氯化钙积累物中得带色的绿豆酸钙,经脱色、脱味后用酸清理,除开可溶解性钙镁离子得绿豆酸积累物中,与碳酸钠能力得绿豆酸钠,再经皮肤干燥、粉粹、过筛得绿豆酸钠纳米银溶液
pg电子娱乐游戏app 生物学还不错产生羟基-水藻酸钠的有机化学改善
羟基的化学上增韧所涉脱色物、接枝共聚、磺化等,近几近些年海藻颗粒颗粒酸钠的脱色物被越变变得多关注度。脱色物生产技术中海藻颗粒颗粒酸钠在高碘酸钠催化反应下,糖基象限C2—C3折断,相对应的两只羟基空气氧化转为醛基。还会有用氰化钠铈铵/氰化钠做氧化反应回归加剧剂保障体系,将藻类酸钠与衣康酸采用政治权利基整合转换聚藻类酸钠-g-衣康酸。按照升级优化缩聚时、缩聚温差、衣康酸及海草酸钠的有机废气浓度和引起剂运用量提升了高得率接枝乙酰乙酸,接枝共聚效果**能做到 97. 41%。

相应厂品:
藻类酸钠-缬氨酸 alginate-valine
水藻酸钠-色氨酸 alginate-Tryptophan
藻类酸钠-精氨酸 alginate-Arginine
海苔酸钠-鸟氨酸 alginate-Ornithine
海苔酸钠-天冬氨酸 alginate-Aspartic acid
绿豆酸钠-络氨酸 alginate-tyrosine
藻类酸钠-甘氨酸 alginate-glycine
海苔酸钠-丝氨酸 alginate-serine
海藻颗粒酸钠-聚肌氨酸 alginate-Poly-Sarcosines
海苔酸钠-聚天冬氨酸 alginate-poly aspartic acid
海藻颗粒酸钠-组氨酸 alginate-His
绿豆酸钠-谷氨酸 alginate-glutaric acid
藻类酸钠-赖氨酸 alginate-Lysines
海草酸钠-苏氨酸 alginate-threonine
水藻酸钠-亮氨酸 alginate-leucine
之上材质 来pg电子娱乐游戏app
就axc,2022.10.24
及以上文章中谈起的物料仅用来科研课题,没能用来人的身体


pg电子娱乐游戏app
微信公众号
官方微信