PMMAIBEMAran-g-PS 聚甲基丙烯酸甲酯共甲基丙烯酸异丁基乙酯-聚苯乙烯 接枝共聚物
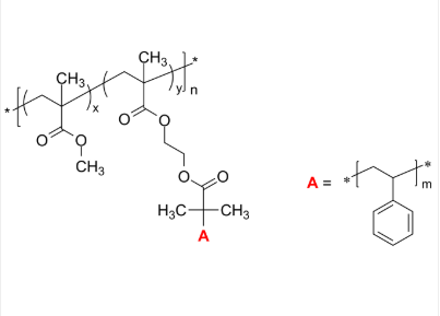
PMMAIBEMAran-g-PS 聚甲基亚克力 甲酯共甲基亚克力 异丁基乙酯-聚苯丁二烯 接枝共聚物 英文姓名字:聚甲基亚克力 甲酯共甲基亚克力 异丁基乙酯-聚苯丁二烯 接枝共聚物因为俗称:PMMAIBEMAran-g-PS英语翻译全程:Poly(methyl methacrylate-co-[isobutryl ethylmethacrylate-graft-polystyrene])CAS号:n/a; PMMA: 25188-98-1/9011-14-7; PS: 9003-53-6原子核式:[(C5H8O2)x (C10H15O4[C8H8]m)y]n主链格局:接枝共聚物主要是成份:PMMA亲疏水:疏水产品设备款式:传统低大分子荧光/会发光:无油漆颜色/型态:固态硬盘粉沫或颗料(以实际上的油漆颜色是以)溶解度:≤ 100%机构式:



pg电子娱乐游戏app
微信公众号
官方微信