PAA-g-PEG/PAA-g-PEO 聚丙烯酸-聚乙二醇 接枝共聚物 Poly(acrylic acid)-graft-poly(ethylene oxide), grafting on amide
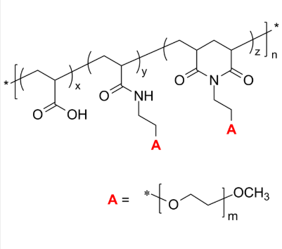
PAA-g-PEG/PAA-g-PEO 聚亚克力 -聚乙二醇 接枝共聚物 Poly(acrylic acid)-graft-poly(ethylene oxide), grafting on amide 中文翻译品牌:聚亚克力 -聚乙二醇 接枝共聚物英文版名字简称:PAA-g-PEG/PAA-g-PEO日语总称:Poly(acrylic acid)-graft-poly(ethylene oxide), grafting on amide/imide linkage英文音标别称:Poly(ethylene oxide) or poly(ethylene glycol) grafted on modified poly(acrylic acid)CAS号:n/a; PEG: 25322-68-3; PAA: 9003-01-4大化学式:[(C3H4O2)x (C3H4ON[C2H4O]m)y (C6H6O2N[C2H4O]m)z]n主链结构设计:接枝共聚物重点成分表:PAA亲疏丙烯酸乳液:亲水品牌类别:平时低氧分子荧光/会亮:无表面/姿态:固定粉沫或科粒(以实际的表面应写)溶解度:≤ 100%设计式:



pg电子娱乐游戏app
微信公众号
官方微信