8-Arm PMMA-PS 8臂星形-聚甲基丙烯酸甲酯-聚苯乙烯 星形二嵌段共聚物
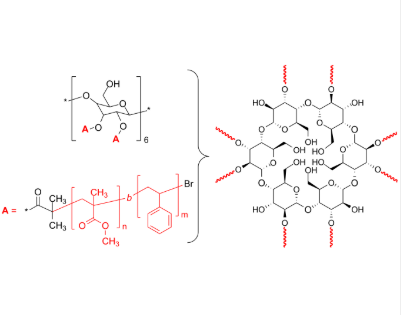
8-Arm PMMA-PS 8臂星形-聚甲基丙烯酸酯甲酯-聚苯氯乙烯 星形二嵌段共聚物 中文字幕名称大全:8臂星形-聚甲基亚克力 甲酯-聚苯氯乙烯英文字母俗称:8-Arm PMMA-PS英语怎么说全名:Poly(methyl methacrylate)-b-poly(styrene), 8-arm block star / Core: α-CyclodextrinCAS号:n/a; PMMA: 9011-14-7; PS: 9003-53-6; PS-co-PMMA: 25034-86-0碳原子式:[C8H8]n [C5H8O2]m主链结构设计:多臂星形嵌段包括化学成分:PMMA亲疏丙烯酸乳液:疏水服务内型:端基功能模块化突显蒙题子荧光/亮光:无的外形/形态特征:固态硬盘粉末状或粒状(以预期的外形应写)含量:≤ 100%型式式:



pg电子娱乐游戏app
微信公众号
官方微信