4-Arm PLA-PEO/PLA-PEG 4臂星形-聚乳酸(聚丙交酯)-聚乙二醇 生物降解星形两亲性二嵌段共聚物
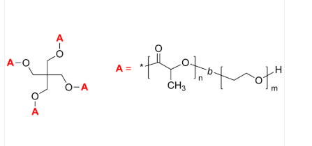
4-Arm PLA-PEO/PLA-PEG 4臂星形-聚乳酸(聚丙交酯)-聚乙二醇 生物体化学降解星形两亲性二嵌段共聚物 中文字分类:4臂星形-聚乳酸(聚丙交酯)-聚乙二醇英语缩写英文:4-Arm PLA-PEO/PLA-PEG英语翻译全稱:Poly(lactide)-b-poly(ethylene oxide), 4-arm block star / Core: pentaerythritolCAS号:n/a; PEO: 25322-68-3; Poly(L-lactide): 26161-42-2; Poly(D-lactide): 106989-11-1化学式式:[C2H4O]n [C3H4O2]m主链框架:多臂星形嵌段主要是有效成分:PLA亲疏水:两亲性设备种类:微生物高吸水性树脂涨团伙荧光/会发光:无外觀/形式:固态硬盘粉化或颗粒状(以现场外觀来算)纯净度:≤ 100%4-Arm PLA-PEO/PLA-PEG 4臂星形-聚乳酸(聚丙交酯)-聚乙二醇 菌物分解星形两亲性二嵌段共聚物结构类型式:



pg电子娱乐游戏app
微信公众号
官方微信