4-Arm PEO-PMOXZ/PEG-PMOXZ 4臂星形-聚乙二醇-聚(2-甲基恶唑啉) 星形两亲性二嵌段共聚物
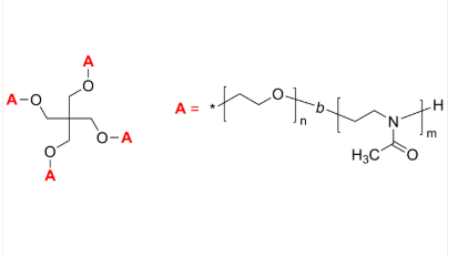
4-Arm PEO-PMOXZ/PEG-PMOXZ 4臂星形-聚乙二醇-聚(2-甲基恶唑啉) 星形两亲性二嵌段共聚物 中文字幕分类:4臂星形-聚乙二醇-聚(2-甲基恶唑啉)英文版缩写英文:4-Arm PEO-PMOXZ/PEG-PMOXZ因为全名:Poly(ethylene oxide)-b-poly(2-methyl oxazoline), 4-arm block star / Core: pentaerythritolCAS号:n/a; PEO: 25322-68-3团伙式:[C2H4O]n [C4H7NO]m主链构造:多臂星形嵌段主要的成份:PMOXZ/PMEOXZ亲疏水溶性:两亲性软件类型的:传统拿高团伙荧光/会发光:无外观专利专利/特性:固体碎末或颗粒剂(以其实外观专利专利时以)色度:≤ 100%架构式:



pg电子娱乐游戏app
微信公众号
官方微信