中文名字名字大全:海藻颗粒酸钠-菁染剂CY5
用英语标题:alginate-Cyanine5
含量:95%+
保存必要条件:-20°C,遮光,避湿
的外观: 固态物体或粘度液状体,考量于碳原子量
PEG大分子量可选择:350、550、750、1k、2k、34k、5k
标签印刷:成瓶/成袋
降解性:溶解于大部位有机的萃取剂,如:DCM、DMF、DMSO、THF等等这些。在水中含较好的熔化分解性
提前准备议题:取出相应要粗糙,应对高频的容解和冻干
IP地址:深圳
服务商:渭南pg电子娱乐游戏app 生态学
花氰有机染料cy5,常被操作于生物技术原子标注,荧光激光散斑简述他荧光生物技术具体分析。Cy5(磺基菁5)是一个种催化活性活性有机染料,用做标记图片肽、核营养物质和寡核苷酸中的氨基。 我们公司所采用菁活性有机染料CY5符号藻类酸钠
Cy5是敞亮的大红色荧光染剂。是由于它的充分调动和发送峰都长激发光谱红光区,而在这板块生物技术印刷品的自个荧光稍弱,那么,相对应于Cy3,Cy5都具有显眼的精确度度优势与劣势。最后,它的荧光(ex:667nm)处于几乎数测量仪器的验测范围图内,这些它也是是非非时常见的荧光图标单质。.
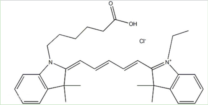
CY5的结构简式

相关产品:
Hyaluronic acid-PEG-alginate 白色质酸-聚乙二醇-绿豆酸钠
BSA-PEG-alginate 牛血清正血清-聚乙二醇-藻类酸钠
HAS-PEG-alginate 人血贞洁蛋白酶-聚乙二醇-海苔酸钠
Transferrin-PEG-alginate 转铁血清-聚乙二醇-海苔酸钠
Wheat germ agglutinin-PEG-alginate 麦子胚凝集素-聚乙二醇-藻类酸钠
Streptavidins-PEG-alginate 链霉亲和素-聚乙二醇-水藻酸钠
Heparin-PEG-alginate 肝素-聚乙二醇-藻类酸钠
Concanavalin A-PEG-alginate 刀豆球蛋清A-聚乙二醇-水藻酸钠
Catalase-PEG-alginate 过钝化氢酶-聚乙二醇-藻类酸钠
Insulin-PEG-alginate 胰岛素-聚乙二醇-海藻颗粒酸钠
Casein-PEG-alginate 络蛋白质-聚乙二醇-藻类酸钠
Ovalbumin-PEG-alginate 卵清核蛋白-聚乙二醇-绿豆酸钠
Lectins-PEG-alginate 凝集素-聚乙二醇-海带酸钠
MTX-PEG-alginate 甲氨蝶呤-聚乙二醇-水藻酸钠
综上所述资科原于pg电子娱乐游戏app
版主axc,2022.10.24
之内这段话提起的的产品仅用以科学,不可能用以体内


pg电子娱乐游戏app
微信公众号
官方微信