汉语名字大全: 海苔酸钠-环糊精
因为标题:alginate-Cyclodextrin
又称:β-CD-g-NaAlg
纯净度:95%+
存放经济条件:-20°C,背光,避湿
的外观: 固态或磁性液,在于于碳原子量
PEG原子量供选择:350、550、750、1k、2k、34k、5k
礼品盒:单瓶/包装袋
融解性:溶解于大部位有机质相转移催化剂,如:DCM、DMF、DMSO、THF一系列。在水中含太好的水解性
特别留意法定程序:取出务必要干澡,规避经常的融解和冻干
地此:宝鸡
生产厂:昆明pg电子娱乐游戏app 生态学
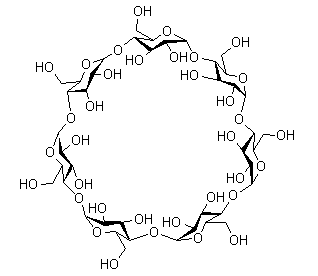
描叙:以NaAlg和β-CD为食材,对甲苯磺酸(p-TSA)为过酸剂,1-乙基-3-[3-(二甲基胺基)丙基]-氢氟酸处理二亚胺稀盐酸盐(EDC-HCl)为偶联剂,N,N-二甲基甲酰胺(DMF)为有机溶剂炼制p-环糊精-g-海苔酸钠(β-CD-g-NaAlg)
pg电子娱乐游戏app 生物学销售β环糊精遮盖海藻颗粒酸钠,环糊精结构的式

相关产品:
生物技术素装饰藻类酸钠alginate
醛基装饰海苔酸钠alginate
巯基吡啶能力化绿豆酸钠alginate
羟基改性材料海藻颗粒酸钠alginate
酰基偶联水藻酸钠alginate
硅烷修饰语海草酸钠alginate
亚克力酯效果化海带酸钠alginate
硫心酸改善海苔酸钠alginate
甲苯磺酸酯偶联海藻颗粒酸钠alginate
修饰语海苔酸钠alginate
氨甲基工作化藻类酸钠alginate
硝基苯碳酸盐渗透型海带酸钠alginate
丙稀酸化物偶联藻类酸钠alginate
缬草酸装饰海藻颗粒酸钠alginate
丙烯酰胺功能模块化藻类酸钠alginate
溴化物热塑性树脂藻类酸钠alginate
丁二烯砜偶联海草酸钠alginate
以内资源位于pg电子娱乐游戏app
编辑axc,2022.10.24
上面文章中提起的好产品仅主要中用科技创新,不要主要中用人体肌肉。


pg电子娱乐游戏app
微信公众号
官方微信