右旋糖酐-氨基 Dextran-NH2 | Dextran Amine (Dextran functionalized with primary amine)
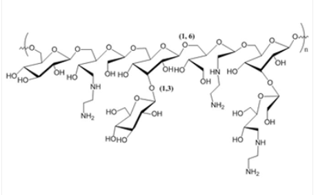
右旋糖酐-氨基 Dextran-NH2 | Dextran Amine (Dextran functionalized with primary amine) 繁体中文明称:右旋糖酐-氨基英文音标简称为:Dextran-NH2英语英文名称:Dextran AmineCAS号:n/a; Dextran: 9004-54-0主链结构设计:直链共聚物大部分组分:Dextran亲疏水:亲水车辆类型的:侧基特点化体现满大分子荧光/有光:无外光/性状:nvme固态粉尘或科粒(以具体外光应写)溶解度:> 95%组成式:



pg电子娱乐游戏app
微信公众号
官方微信