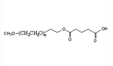
聚乙二醇-戊二酸 mPEG-GA (Monofunctional PEG Glutaric Acid)
聚乙二醇-戊二酸 mPEG-GA (Monofunctional PEG Glutaric Acid) 中文字幕名称大全:聚乙二醇-戊二酸英文音标英文缩写:mPEG-GA因为全名是:mPEG-GA (Monofunctional PEG Glutaric Acid)CAS号:n/a; PEG: 25322-68-3主链的结构:直链均聚物主要是材料:PEO/PEG亲疏水性聚氨酯:亲水物商品种型号:端基系统化掩盖夺分子式荧光/发亮:无外装/姿态:固态硬盘安装小粒或小粒(以预期外装为界)



pg电子娱乐游戏app
微信公众号
官方微信