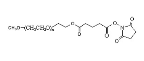
聚乙二醇-琥珀酰亚胺戊二酸酯 mPEG-SG (PEG-NHS: Succinimidyl Glutarate ester)
聚乙二醇-琥铂酰亚胺戊二酸酯 mPEG-SG (PEG-NHS: Succinimidyl Glutarate ester) 2英文命名:聚乙二醇-虎珀酰亚胺戊二酸酯英语缩略词:mPEG-SG因为总称:mPEG-SG (PEG-NHS: Succinimidyl Glutarate ester)CAS号:n/a; PEG: 25322-68-3主链格局:直链均聚物基本化学成分:PEO/PEG亲疏水溶性:亲水产品的类形:端基职能化呈现好的成绩子荧光/放光:无铜网外形/结构:固体粉尘或粒子(以真实铜网外形准确)格局式:



pg电子娱乐游戏app
微信公众号
官方微信